Collection: Carl, Robert
Robert Carl (b.1954) studied composition with Jonathan Kramer, George Rochberg, Ralph Shapey, and Iannis Xenakis. His music is performed throughout the US and Europe, and is published by American Composers' Alliance, Boosey & Hawkes, Roncorp, and Apoll-Edition. His grants, prizes and residencies have come from such sources as the National Endowment for the Arts, Tanglewood, Connecticut Commission on the Arts, Camargo Foundation, MacDowell Colony, Yaddo, Ucross, Millay Colony, Bogliasco Foundation, Djerassi Foundation, the Aaron Copland House, and the Rockefeller Foundation.
He has been awarded a 2005 Chamber Music America commission for a string quintet written for the Miami String Quartet and Robert Black. An excerpt from his opera-in-progress Harmony (with novelist Russell Banks) was presented in May 2005 in the New York City Opera’s VOX Showcase series. He is also the recipient of the 1998 Charles Ives Fellowship from the American Academy of Arts and Letters. New World Records released a CD of three large string chamber works in March 2006. In 2007, Carl received a fellowship from the Asian Cultural Council for travel to Japan to research contemporary Japanese composers, and he has been commissioned by Oxford University Press to write a book on the premiere of Terry Riley’s In C.
Other CD releases of his work are found on Neuma, Koch International, Lotus, Centaur, Vienna Modern Masters, E.R.M., and The Aerial. For fifteen years he was a co-director of the Extension Works new music ensemble in Boston; he is chair of the composition department at the Hartt School of Music, University of Hartford, and writes extensively on new music for Fanfare Magazine. He studies shakuhachi with Ralph Samuelson.
-
-
-
Robert Carl
Transcendental Cakewalk (Orch Version)
2222 4221 perc(2) timp(4) electric guitar, piano, strings
$38.00 -
Robert Carl
Transcendental Cakewalk (6 Players)
sextet asax/Ebcl, elec gtr, perc, pf, vc (amp), cb (amp)
$48.50 -
-
-
Robert Carl
Time/Memory/Shadow For Double Trio
Double Trio Trio1: Violin, Cello, Piano - Trio 2: Violin (2), Viola, Harp
$64.50 - $84.50 -
-
-
-
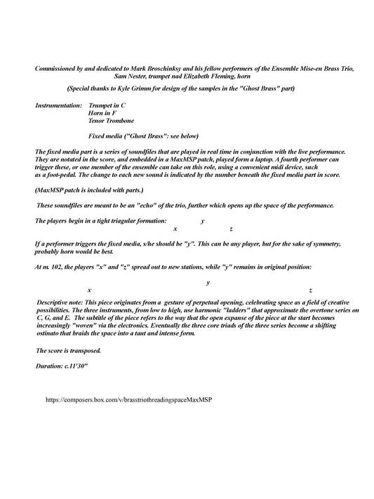
Robert Carl
Threading Space - Brass Trio
brass trio and fixed media Trumpet in C, Horn in F, Tenor Trombone, laptop electronics (MaxMSP)
$18.00 -
-
-
-
Robert Carl
Symphony No. 7: "Infinity Avenue"
Chamber Orchestra, 3 Female Voices, and Live Electronics 1(+picc)110 - 1110 - timp, 2 perc, laptop - SSA solo - strings
$69.00 -
Robert Carl
Symphony No. 6, "Dome Of Refuge"
3 fl (#3 dbl picc); 2 ob; 3 cl (#3 dbl bscl); 2 bsn; soprano/alto/tenor/baritone saxophones; 4 horns in F; 3 tpt in C; 2 tenor trombones; bass tbn; tuba; timp; 6 perc; harp; piano/synthesizer; strings
Archival
-
Robert Carl
Symphony No. 5 "Land"
3333 4332 alto saxophone, timp(4) perc(4), piano/cel, strings
$59.50 -
-
Robert Carl
Symphony No. 3 'the World Turned Upside Down'
orch: pic/3-3/eh-3/bcl-3; 4-3-2/1btbn-1; harp; piano; timpani; 3perc; strings
$60.50 -
Robert Carl
Symphony No. 2, "Liberty And/Or Death"
orch: 3/pic-3/eh-3/bcl/Ebcl-2-cbsn; 4-3(in C)/D-3/btbn-1; 3perc; pf/org; str
Archival
-
-















